一文帶你看透聚合物鋰電池極片特性參數
聚合物鋰電池電極是一種顆粒組成的涂層,均勻的涂敷在金屬集流體上。聚合物鋰電池極片涂層可看成一種復合材料,主要由三部分組成:①活性物質顆粒;②導電劑和黏結劑相互混合的組成相(碳膠相);③孔隙,填滿電解液。
聚合物鋰電池工作時電解液滲入多孔電極的孔隙中,在液-固兩相界面上進行電極反應。電極是電池內部電化學的反應區域,因此電極結構的好壞直接決定著電池性能。電極結構主要包括組分、孔隙結構、各組分的分散狀態及電極厚度及其均一度、比表面積等參數,本文分享一份資料,詳細介紹鋰電池極片特性參數表征及其影響因素。
一、聚合物鋰電池孔隙結構
多孔材料中的孔按其形態可分為交聯孔、通孔、半通孔和閉孔,如圖1所示。這幾種孔在電池反應過程中作用并不相同。交聯孔和通孔是主要的鋰離子參與反應和傳輸的主要通道;半通孔不適用于鋰離子的完全傳輸,但在鋰離子順利進入這些孔隙的前提下,它可充當電化學反應的場所;閉孔因為鋰離子無法輸出,鋰離子傳輸和反應均無法進行,屬于無效孔。對于聚合物鋰電池極片的孔隙結構,目前主要通過孔隙率、孔徑、孔徑分布及迂曲度等參數來描述這些復雜的孔結構的孔數目和孔形態。

圖1 多孔材料孔結構示意圖
孔隙率:是指多孔材料中孔隙的體積占多孔體表觀體積(或稱為總體積)的比率,一般用百分數來表示。孔隙率是一個相對宏觀的概念,它既包括了多孔電極內孔數目,也包括了各類孔的孔徑大小。
孔徑大小及分布:由于活性物質顆粒的大小及制作工藝的不同,多孔電極內孔的形態也各不相同,為了表述孔的大小,通常將孔模擬為圓柱,把圓柱形孔的底面直徑作為孔徑,所有圓柱形的平均孔徑d表示為孔的大小。
由于多孔體內顆粒粒徑并不均勻,因此顆粒堆積的孔也不相同,全面了解多孔電極結構還必須了解孔徑分布,即不同孔徑在總孔結構中的分散程度及其所占比例大小。顆粒的形貌不同,堆積的孔結構也不相同,研究了顆粒分布和形貌對于顆粒堆積孔隙率的影響結果表明均勻的顆粒分布和球形顆粒制備的電極可呈現最佳的孔隙率。
一般地,如圖2所示,極片中存在兩種尺度的孔隙:①顆粒內部的孔隙 ,尺度為納米-亞微米級;②顆粒之間的孔隙,尺度為微米級。這兩種結構的孔洞對電池性能影響都挺關鍵的。

圖2 電極中的孔徑分布
迂曲度:顆粒形狀的不同,導致堆積的孔大多不是直通孔,迂曲度是描述多孔介質中孔形態的重要參數,物理定義為物質在孔介質中的實際通過路徑長度Lt與介質距離(厚度) L0的比值,如圖3所示。對于多孔體系而言,其值都大于1,這也說明相比于電解液在多孔體系內的真實傳導能力是偏低的。

圖3 多孔介質流體流動示意圖
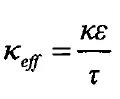
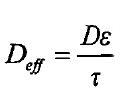
孔隙率和迂曲度對電極中的鋰離子電導率和電解液擴散有重要影響,多孔電極中液相的傳導和擴散能力除與電解液本征特性(電導率κ、擴散系數D和鋰離子遷移數t+0)有關外,還受電極中的多孔結構影響,常用孔隙率ε與迂曲度τ計算。


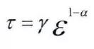
迂曲度τ與多孔網絡的結構相關,包括活性顆粒的性質、粒徑分布等。常用Bmggeman關系式表示,α為Bruggeman指數,孔隙率ε與迂曲度τ關系的一般形式如下:

一般地,常常設定γ=1來校正α值,或者設定α=1.5來校正γ值。
孔隙率測試方法:
理論計算:
極片的孔隙率計算方法為:

其中,涂層平均密度和涂層壓實密度分別為:


而其中

實際工作經驗中,銅箔的延展率為0%,鋁箔延展<1%。常見材料的真密度如表1-3所示。



實驗測試:
目前有很多測試多孔材料微孔結構的方法,例如氮氣吸附法BET、汞壓入法、液體滲吸法、圖像觀測法、小角度X射線/中子衍射法,其中BET法和汞壓入法因為其測試樣品統計量大、可測孔徑范圍寬、可測孔結構信息多及測試準確度高等優點應用最為廣泛。
汞壓入法原理:汞壓入法本質上利用了毛細管滲透原理,液態汞表面張為非常大,與各類固體材料的接觸角都大于90度,不會潤濕材料。通過采用外加壓力可克服表面張力帶來的阻力,使液態汞填充到不同大小孔之中,根據壓入汞的體積及樣品的表觀體積就可計算樣品的孔隙率。圖像分析法針對性強,可W直觀清晰的觀察任何需要研究的區域,作為汞壓入法的輔助方法,使得孔研究更加深入準確。
粒徑對孔結構的影響
圖4a中,假設顆粒粒徑為d,則孔徑(內切圓直徑)幾何計算結果為0.414d,圖4b中粒徑為0.5d,計算孔徑結果分別0.207d。隨著顆粒的減小,孔徑會減小,而孔隙率變化不大,既孔徑主要由顆粒粒徑決定,總孔隙率則基本不受顆粒粒徑影響,另外孔徑的大小與迂曲度呈現反比關系,即孔徑越小,迂曲度越大,在孔數目相同的情況下,相應的液相擴散能力越弱。

圖4 不同粒徑孔結構示意圖(a)大顆粒(b)小顆粒
形貌對孔結構的影響
選取了片狀和球形的兩種不同形貌石墨進行混合,測試其孔隙結構。結果表明,隨著球形化石墨含量的增多,體系的孔徑有了顯著的增加,這是因為片狀石墨棱角尖銳,壓實過程中更容易相互咬合而平行于電極方向層疊排列,層疊結構孔隙較小,球形顆粒的大孔徑可保證鋰離子在孔內順暢的傳導,因此用球形石墨制備的電池具有更優良的倍率性能。
粒度分布的影響
粒度分布越寬,不規則的小顆粒和大顆粒就越多,這些小顆粒會填充在其余顆粒堆積的孔隙中間(填充效應),從而減少孔徑和降低孔隙率,而大顆粒會占據較大的位置,從而減少顆粒堆積的孔隙(占位效應),因此較寬粒度分布的電極具有較低的孔隙率。
二、聚合物鋰電池有效電極厚度
有效電極厚度(或電解液滲透厚度)是反映多孔電極利用率的一個指標,它表示多孔電極的反應可深入電極孔內的距離。如果電極的厚度小于或接近滲透厚度,則多孔電極從表面到內部都能得到較充分的利用;如果電極的厚度大于滲透厚度,那么電極的利用顯然就不充分,電極比容量降低。
在整體設計定型的情況下,電極涂布和輥壓的均勻性是影響有效厚度的重要因素。一般認為滲透厚度主要受多孔電極的結構特點、電極反應性質和反應速度(充放電電流)影響。
對于受電化學極化控制的多孔電極:

對于受擴散控制的多孔電極:

其中,X-:滲透厚度;i0:交換電流密度;d:平均孔徑;ρ:固相有效電阻;i:表觀電流密度;P:孔隙率;c0:電極表面反應物濃度;D:擴散系數。
電極厚度越厚,液相離子的擴散路徑越長,電解液的擴散阻抗越大,電池的倍率性能越差。
三、聚合物鋰電池電極組分分布
電極組分分布:理想的電極是導電劑和粘結劑能夠均勻的分布在活性顆粒的表面、活性顆粒之間、活性顆粒和集流體界面之間,使得顆粒、添加劑及集流體之間的接觸足夠緊密,電子能夠順利的地到達顆粒表面任意一點參加電化學反應。
但實際上由于電極制作過程中的勻漿、涂布、烘烤及輥壓都存在較大的變量,因此各組分的混合狀態差異很大,這種差異性會直接影響到電極的整體性能。
以粘結劑為例,如果顆粒之間或者顆粒和集流體之間沒有足夠的粘結劑,電池在循環過程中則會因為顆粒的反復脫嵌則會導致顆粒之間的接觸斷開,從而使得電池容量急劇衰減。組分的分布主要指的是導電劑和粘結劑的分布,因為電極非常薄,鋰離子更多在垂直于電極方向傳輸,因此研究厚度方向的分布更具有現實意義。
由于導電劑和活性材料的密度并不相同,因此對于X射線束的吸收特性也不相同,通過CT掃描中所呈現的顏色不一致,活性材料(金屬氧化物)表現為白色,而導電劑則表現為灰色,而孔隙表現為黑色,粘結劑為覆蓋在表面納米級膜(先忽略),因此通過3種顏色的比例統計即可實現導電劑分布的表征。
而粘結劑屬于高分子化合物,通常薄膜的形式存在于電極表面,普通SEM很難觀測,必須借助于能譜或者波譜掃描特征元素予以鑒別。正極粘結劑多為PVDF,通過對特征F元素進行簡單的EDS能譜掃描即可實現。
負極粘結劑多采用SBR,C/H元素和負極石墨的元素重合,無法辨別,本文通過鋨酸標記SBR(與雙鍵反應),配合EPMA掃描可實現了負極的斷面粘結劑分布。對于負極,由于水的沸點較低,表面張力較大,溫度設置較高時,涂層水分急劇蒸發,這會導致其中攜帶的粘結劑也急劇上升,從而更多聚集于電極的表面.
四、聚合物鋰電池多孔電極浸潤性
極片浸潤性:極片浸潤性通常用體系浸潤時間或者浸潤速率來進行表示,它涵蓋了電解液接觸顆粒、在顆粒表面充分潤濕及進入顆粒堆積孔隙的過程。因此影響固液界面潤濕的因素(固液相接觸角、液相粘度)和影響電極液相擴散的因素(孔結構)都會影響到浸潤性。
電解液的組成和鋰鹽濃度會改變粘度和表面張力,進而影響潤濕性,控制電池內的壓力會改善浸潤性。通過真空注液的方法數小時內電極即可得到最大程度的潤濕,相比于未抽真空的數天,潤濕時間大大減少,且此類電池有著更高的容量和更高的倍率放電特性。滴電解液法和表面張力法可對浸潤性進行表征。
滴電解液法:方法簡單快速,主要涉及的實驗設備和用品包括:微樣進量器、支架、砂表、表面皿、電極樣品和電解液。具體做法:采用微量進量器提取電解液,置于固定高度的支架,垂直快速滴加到電極樣品表面,蓋上表面皿,用秒表記錄電解液完全被電極吸收的時間,以此來表征浸潤性。此過程極片的平整度、滴液速度、秒表計時點等因素都要嚴格控制。
表面張力法:實驗儀器主要為表面張力儀、夾具、電解液和極片。具體做法即將極片通過夾具固定于表面張力儀,然后采用儀器控制極片末端浸泡電解液,儀器自動記錄一定時間吸入的電解液質量。
五、聚合物鋰電池極片電子電導率
聚合物鋰電池充放電過程中,電池極片內部存在鋰離子和電子的傳輸,其中鋰離子通過電極孔隙內填充的電解液傳輸,而電子主要通過固體顆粒,特別是導電劑組成的三維網絡傳導至活物質顆粒/電解液界面參與電極反應。電子的傳導特性對電池性能影響大,主要影響電池的倍率性能。而電池極片中,影響電導率的主要因素包括箔基材與涂層的結合界面情況,導電劑分布狀態,顆粒之間的接觸狀態等。
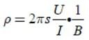
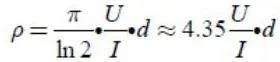
測試方法一:四探針膜阻抗測試法
四探針測試法如圖5所示,在半徑無窮大的均勻試樣上有四根間距為S的探針排列成一直線。由恒流源向外面兩根探針1、4通入小電流I,測量中間兩根探針2、3間的電位差U,則由U、I、S的值根據公式(10)求得樣品的電阻率ρ。

圖5 四探針測試示意圖

式中C為探針修正系數,由探針的間距決定。當試樣電阻率分布均勻,試樣尺寸滿足半無窮大條件時,有:

式中:S1、S2、S3分別為探針1與2,2與3,3與4之間的距離。如S1=S2=S3=S,則C=2πS。當樣品厚度比較小時,不滿足試樣尺寸半無窮大的條件,電阻率公式需要修正因子,此時薄膜樣品的電阻率為:

在樣品無限薄的情況下(厚度h??S/2),可視為二維平面,B=(2ln2)S/h由上式可得出薄膜電阻率的計算公式:

根據四探針膜阻抗測試原理,在鋰離子電池領域,常常采用此方法測試漿料膜阻抗,通過電阻率定量分析漿料中導電劑的分布狀態,從而判斷漿料分散效果的好壞。其測試過程為:用涂膜器將漿料均勻涂覆在絕緣膜上,然后將其加熱干燥,干燥之后測量涂層的厚度,裁切樣品,尺寸滿足無窮大要求(大于四倍探針間距),最后采用四探針測量電極膜阻抗,根據厚度計算電阻率。
四探針膜阻測試方法避免了探針與樣品的接觸電阻,而且測試電流方向平行與涂層也避免了基底分流。因此,該方法能夠準確測量電池極片涂層的絕對電阻值。但是該方法只能表征涂層表面薄層的電阻,對于較厚且存在成分梯度的電池涂層無法全面表征極片電阻值,另外,它也不能測試真實極片中涂層與基材之間的接觸電阻。
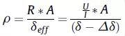
方法二:兩探針極片整體電阻率直接測量法
由于四探針法測量的樣品并非實際的電池極片,采用兩探針法直接測量極片整體電阻率,如圖6所示,此時所測量的電阻包括探針本身電阻、探針與涂層的接觸電阻、涂層電阻、涂層與集流體接觸電阻、集流體本身電阻,可由以下公式表述。

圖6 兩探針法測量極片電阻所包含的電阻值

圖7 兩探針法測量極片電阻裝置示意圖
具體的測量裝置示意圖如圖7所示,將測試探頭安裝在材料力學性能測試設備上,非常容易實現極片電阻的測量,測量過程中,主要的參數包括加載電流和探頭施加壓力。最終,所測量的電阻率ρ由以下公式計算:

式中,R為測量的電阻值,A為接觸面積,U為探測電壓,I為加載電流,δ為極片厚度,Δδ為加壓后極片厚度變化值。
六、聚合物鋰電池電化學有效面積
電化學有效面積:電極反應大多集中在電極/電解液界面上進行,電極比表面積越大,在相同的表觀體積和電解液能夠充分潤濕的前提下,電極/電解液界面也就越大,電極反應也就越容易進行,極化等也就越小,電極的性能也就越好。電化學比表面是相應于能有效參與某一確定電極反應的那一部分表面。
多孔電極比表面積的測量主要有兩種方法:氣體吸附法(BET)和電化學方法。液氮BET法是測試多孔材料比表面積的常用方法。由于氮分子能進入到很小(幾個A)的孔中,電解液卻不能進入如此小的孔中,所以由BET法測試的電極比表面積中包含有一部分對電化學反應無用的表面積,通常比有效表面積大。
電化學方法是基于電化學原理,包括測量界面電容值或電化學吸附量來計算表面積。利用電化學方法測量多孔電極的比表面積與BET法相比,更能真實的反應多孔電極真正能夠參加電極反應的電極表面,在實際應用中更有利用價值。采用電化學法測定電極真實表面積的實質就是測定電極的雙電層電容,因為電極的雙電層電容與電極的真實表面積成正比。為了測定電極的雙電層電容,應選擇合適的溶液和電位范圍,以使研究電極接近理想極化電極。測量電極雙電層電容的方法很多,如恒電位暫態法、恒電流暫態法,三角波掃描法及交流阻抗法等等,但是只有恒電位階躍法才適用于測量粗糙表面的雙電層電容。
七、聚合物鋰電池電極水分含量
電池極片中殘留的水分一般為幾百ppm,相對而言水分含量較低,無法用簡單方法測量,一般采用卡爾費休庫倫法測試微量水分,其原理是一種電化學方法。
儀器電解池中的卡氏試劑達到平衡時注入含水的樣品,水參與碘、二氧化硫的氧化還原反應,在吡啶和甲醇存在的情況下,生成氫碘酸吡啶和甲基硫酸吡啶,消耗了的碘在陽極電解產生,從而使氧化還原反應不斷進行,直至水分全部耗盡為止,依據法拉第電解定律,電解產生的碘同電解時耗用的電量成正比例關系的,其反應如下:
H2O+I2+SO2+3C5H5N→2C5H5N·HI+C5H5N·SO3
在電解過程中,電極反應如下:
陽極:2I- - 2e→I2
陰極:I2 + 2e→2I-
2H+ + 2e→H2↑
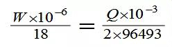
從以上反應中可以看出,即1摩爾的碘氧化1摩爾的二氧化硫,需要1摩爾的水。所以電解碘的電量相當于電解水的電量,電解1摩爾碘需要2×96493庫侖電量,電解1毫摩爾水需要電量為96493毫庫侖電量。樣品中水分含量根據以下公式計算:

式中:W---樣品中的水分含量,μg; Q---電解電量,mC;18---水的分子量。
卡爾費休庫倫微量水分測試儀一般結構如圖8所示,主要包含卡爾費休電解池和樣品加熱單元,極片樣品放入密封樣品瓶中,然后一定溫度下加熱樣品瓶,樣品中的水分蒸發,然后利用干燥氣體將水蒸氣送入電解池中參與反應,再測定電解過程中的電量,從而滴定水分含量。

圖8 卡爾費休水分測試儀結構示意圖
本文鏈接:http://m.kuramotokousuke.com{dede:field.arcurl/}
諾信新聞,諾信公司新聞,鋰電池行業新聞,展會新聞
上一篇:你要的聚合物鋰電池自放電總結分析






