聚合物鋰電池鋰枝晶的形成機理與防治
近日,諾信鋰電池廠家收到客戶關于鋰離子損耗降低聚合物鋰電池容量的問題,引發熱議:鋰離子電池容量降低的主要原因之一是鋰元素(化合物和離子)的不可逆損失,即形成了不可逆的鋰化合物或者鋰金屬。不可逆的鋰化合物是形成SEI膜的主要成分之一,而不可逆的鋰金屬主要是形成了枝晶鋰和死鋰。歸根結底就是一點,怎么理解鋰枝晶更容易一些呢?
本文諾信鋰電池廠家結合文獻和實際工作經驗講述以下幾個問題,希望能夠拋磚引玉,吸引各位專家更好的講述一下鋰枝晶問題。
一、鋰枝晶是怎樣形成的?
二、鋰枝晶的特點是什么?
三、影響鋰枝晶的因素?
四、怎樣避免鋰枝晶的形成?
一、鋰枝晶是怎樣形成的
早在20世紀70年代就有研究者對金屬鋰的沉積進行了細致的觀測。然而鋰枝晶的生長機理涉及電化學、晶體學、動力學、熱力學等領域,十分復雜,因此至今沒有一種普適性的枝晶生長理論。
電池中的鋰枝晶問題與電化學工業上的電鍍生產類似,如電鍍Cu、Ni和Zn等,同樣面臨金屬的枝晶生長問題。因而,電鍍過程中積攢的經驗,能夠作為了解鋰技晶生長的借鑒。之前的經驗表明,在電鍍過程中,電解液中存在一個陽離子濃度梯度,受限于鋰離子的擴散速度, 當電流密度迗到一個特定值時,電流只能維持一段時間被稱之為沙灘時間,之后陽離子在靠近沉積電極一側的電解液中耗費殆盡,這樣就會打破沉積電極表面電中性平衡,形成一個局部空間電荷,從而導致電鍍時產生枝晶。
借助電鍍經驗和前人研究,在考慮了沉積速率、離子濃度、電流密度、過電位和表面張力對嵌入和離子沉積過程的影響,提出一個關于鋰枝晶的 Monroe-Newman 模型

式中: e為基本電荷單位; Co為初始濃度; D 為擴散常數; J為電流密度; μc為陽離子濃度; μa為陰離子濃度。實驗表明: 當J2 增大時,τcc變小。
另外也有一些理論認為,由于金屬鋰負極表面凹凸不平,存在許多突起,導致突起處的電子電荷分布變多,導致更多的Li+ 被吸引而發生沉積形成鋰枝晶。
總之,鋰枝晶的生長是一個復雜電化學問題,涉及到許多因素, 因此很難用單一的模型或者理論來描述。但是,對于鋰枝晶成核與生長的理論模型的研究與探索仍然在繼續。
二、鋰枝晶的特點是什么
鋰枝晶在不同的電池環境、不同的時刻所呈現的形貌有所不同,如苔蘚狀鋰、絲狀鋰、針尖狀鋰、晶須狀鋰、灌木狀鋰、樹枝狀鋰等。由于各研究者對其描述各異,導致了這種名稱多樣化的現象。可簡要分為3 類:① 無分叉,單根生長,如絲狀鋰、針尖狀鋰、晶須狀鋰;② 團簇狀,生長時類似于面團的發酵過程,如苔蘚狀鋰、灌木狀鋰;③ 可見明顯分叉結構,枝干稀疏,為最危險的枝晶結構,易刺破隔膜,如樹枝狀鋰。

枝晶的產生可分為3個階段
鋰枝晶的初始形核與生長過程枝晶的產生可分為3個階段。
第一階段,電池組裝后,由于金屬鋰的高度活潑性,在接觸到電解質中的有機溶劑等組分時能發生瞬時反應,形成SEI膜,即SEI 膜的形成早于枝晶的產生。致密的SEI膜可以阻止電解液與金屬鋰發生進一步反應,是一種良好的離子導體,但卻是電子絕緣體。Li+可以穿過這層SEI膜在電極表面沉積,但由于鋰、電解質、SEI膜的本身特性和充放電條件影響導致其沉積分布不均勻。
第二階段,形核階段,即不均勻沉淀的持續累積,導致某些地方凸起,直至頂破原始SEI膜。
最后進入生長階段,刺破原始SEI膜后繼續在長度方向上生長,成為可見的枝晶。同時,SEI膜也隨著金屬鋰枝晶的生長而持續不斷地反應增生,但始終包覆在金屬鋰表面。
一般來說,枝晶的數量主要由形核階段決定,而枝晶的形貌則主要由生長階段決定。

鋰枝晶的生長過程原位電鏡觀察
三、鋰枝晶是怎樣形成的
根據Monroe-Newman 模型和實際工作經驗,人們總結的容易發生析鋰的原因有:
①過充電時,負極鋰已飽和,多余的鋰已金屬析出
②在負極漏銅箔的地方,由于極化小,易鋰合金化,易析鋰
③大電流充電,負極表面鋰來不及向內部擴散,在電極表面析出
④電極邊緣,尤其是電極對齊時,受邊緣效應影響,電流密度大,負極易析鋰
另外,正負極冗余度設計不足,電池低溫充電、正負極片間有氣體接觸不好、負極電解液浸潤不好,SEI膜、電解液的種類、溶質濃度、正負極之間有效距離等等等因素都可能會導致負極析鋰。
1.正負極表面不均勻
正負極表面不均勻的原因有很多,比如:涂布不均勻,正極涂布偏重或者負極涂布偏輕,活性物質混入雜質、正極或負極頭部超厚等等。
正負極表面的粗糙度影響枝晶鋰的形成表面越粗糙越有利于形成枝晶鋰,枝晶鋰的形成涉及電化學、晶體學、熱力學、動力學等四大塊的內容,David R. Ely的文章中有詳細的描述。


2.鋰離子濃度梯度及分布
鋰離子從正極材料中脫出后,穿過電解液和隔膜,在負極接受電子。在充電過程中,正極的鋰離子濃度逐漸增加,負極的鋰離子濃度則因為不斷接受電子而減少,在電流密度大的稀溶液中,離子濃度會變為0,Monroe-Newman 模型表明當離子濃度降低到0時,負極將形成局部空間電荷,并形成枝晶結構,枝晶結構生長速度和電解液中離子偏移速率相同。

自修復靜電場理論, 金屬陽離子會吸附在凸起處形成正的電場, 從而排斥同電荷的鋰離子, 減少凸起
3.電流密度
在文章Dendrite Growth in Lithium/Polymer Systems中,作者認為枝晶鋰的針尖生長速度與電流密度密切相關,如下式所示:

如果降低電流密度,可以在一定程度上延緩枝晶鋰的生長,如下圖:

四、怎樣避免鋰枝晶的形成
根據枝晶鋰的形成及影響因素,可以從以下幾方面來避免枝晶鋰的形成:
1.控制正負極集流體涂布后的平整度。
因為之前已經講述過,這里不再贅述了。
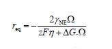
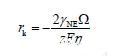
2.負極顆粒的尺寸要小于臨界熱力學半徑。
在鋰枝晶生長過程形成鋰核,存在一熱力學臨界半徑raq 與一動力學臨界半徑rk:


式中,為鋰-電解質界面的表面能,Ω為鋰的摩爾體積,z為電荷數,F為法拉第常數,Gf 為摩爾體積轉化自由能。鋰枝晶生長,首先必須克服熱力學臨界半徑,才有足夠的能量形核。其次,單個晶核只有大于動力學臨界半徑才能夠生長,否則該晶核就會逐步消亡。
3.添加穩定負極-電解液界面的電解液添加劑
添加劑在鋰負極表面分解、聚合或者吸附, 作為反應物參與SEI膜的生成以改變SEI 膜的組成與結構, 修飾SEI的物理化學性能, 另外也可以做為表面活性劑改變鋰負極表面的反應活性, 調節鋰沉積過程中的電流分布, 均勻鋰沉積。添加劑在電解液中甚至有ppm水平就可以起到改善鋰沉積形貌和循環效率的效果。因此, 使用電解液添加劑對鋰負極改性, 是最經濟、最簡便的方法。
4.替換液體電解質為高強度凝膠/固體電解質
固態電解質則具有較高的模量, 可以阻止鋰枝晶的生長和蔓延, 鋰枝晶很難穿刺電解質導通正負極, 安全性得以大大提高, 因而被認為是鋰金屬電池最優的選擇。

5.建立高強度鋰負極表面保護層

無機陶瓷固態電解質的模量一般很高,可以阻止鋰枝晶的生長和蔓延,但是值得注意的是模量高的無機陶瓷,意味著其接觸性較差,會導致和電極接觸不良,界面電阻過大。因此在選擇無機陶瓷材料時, 必須在高模量和表面接觸之間取得一個平衡。
本文鏈接:http://m.kuramotokousuke.com{dede:field.arcurl/}
諾信新聞,諾信公司新聞,鋰電池行業新聞,展會新聞






